末梢神経電気刺激による筋収縮の有無は一次運動野の活動性に異なる影響を及ぼす
研究の概要
数十分間の末梢神経電気刺激に伴う体性感覚入力は,一次運動野の活動性を変化させることが報告されており,中枢神経疾患に対するリハビリテーション手法として期待されております.しかし,末梢神経電気刺激が一次運動野の活動性に与えるメカニズムについては不明な点が多く,至適なパラメーターは確立されておりません.そこで本研究の目的は,末梢神経電気刺激の筋収縮の有無による体性感覚情報の違いに着目して,一次運動野の活動性に与える影響について明らかにすることとしました.その結果,末梢神経電気刺激による筋収縮誘発条件では,一次運動野の活動性が増加し,筋収非誘発条件では低下することが示されました.したがって,末梢神経電気刺激による筋収縮の有無は,一次運動野の活動性に異なる影響を及ぼすことが示唆されました.
本研究成果は,Frontiers in Human Neuroscience誌に掲載予定です.
研究者からのコメント

本研究結果より,末梢神経電気刺激による筋収縮の有無は,一次運動野の活動性に異なる影響を及ぼすことが示唆されました.現在まで,末梢神経電気刺激による一次運動野の活動性変化のメカニズムや至適なパラメーターは,十分に明らかになっていません.そのため,今後は末梢神経電気刺激による基礎的研究を積み重ね,リハビリテーション分野への応用を目指していきたいと考えております.
研究のポイント
ポイント①:電極を図1のように固定します.電気刺激は,痛みが出ない程度の刺激強度で行われます.

図1. 各条件の電気刺激部位
条件1)110%MNS:手関節部の正中神経(混合神経)に対して運動閾値の110%で電気刺激を行う条件.
条件2)DNS:示指の正中神経(感覚神経)に対して110%MNSと同じ電気刺激強度で行う条件.
条件3)90%MNS:手関節部の正中神経(混合神経)に対して運動閾値の90%で電気刺激で行う条件.
ポイント②:一次運動野に対して磁気刺激を行うと,一次運動野が活動し,末梢の筋から運動誘発電位(MEP)を記録することができます.このMEP振幅値をみることで皮質脊髄路の興奮性を評価することができます.本研究では,筋収縮誘発条件でMEPが増加し,筋収縮非誘発条件でMEPの低下が認められました(図2,図3).

図2. 一人の被験者の代表例

図3. 各条件のMEP振幅値の平均値
A) 110%MNS,B) DNS,C) 90%MNS
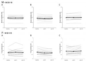
ポイント③:MEPは皮質脊髄路の活動性を評価するため,純粋に一次運動野のみを評価することはできません.そのため,末梢神経電気刺激による末梢および脊髄レベルの活動性に対する影響を検討するため,M波とF波の計測を行いました.その結果,どの刺激条件においてもM波とF波の変化は認められませんでした(図4).したがって,MEPの変化は,一次運動野で起きたものと考えられます.

図4. 各条件のM波,F波振幅値の平均値
A) 110%MNS,B) DNS, C) 90%MNS
原著論文情報
Ryoki Sasaki, Shinichi Kotan, Masaki Nakagawa, Shota Miyaguchi, Sho Kojima, Kei Saito, Yasuto Inukai, Hideaki Onishi, Presence and absence of muscle contraction elicited by peripheral nerve electrical stimulation differentially modulate primary motor cortex excitability, Frontiers in Human Neuroscience, 2017.
用語説明
運動誘発電位:皮質脊髄路の活動性の指標,M波:筋,神経接合部の末梢レベルの活動性の指標,F波:脊髄前角細胞の活動性の指標