反復的他動運動の運動頻度に依存して一次運動野の興奮性が低下することを解明!
研究内容の概要
他動運動は一般的にリハビリテーション分野で,関節可動域の改善や維持のために用いられる手法です.また,他動運動による体性感覚入力は一次運動野の可塑的変化を誘導することが報告されています.Miyaguchiら(2013)の研究では,10分間の示指の他動運動を反復的に行うことで一次運動野の興奮性が一時的に低下することを明らかにしました.しかし,反復的他動運動のパラメータ(運動頻度,関節角度,運動時間など)の違いが一次運動野の興奮性に与える影響については十分な検証がなされておらず,不明な点が多いのが現状です.そこで本研究の目的は,異なる運動頻度による反復的他動運動が一次運動野の興奮性に及ぼす影響を明らかにすることでした.
本研究成果は,国際誌『Neuroscience』に掲載されました.
研究者からのコメント
本研究では,反復的他動運動は運動頻度に依存して一次運動野の興奮性を低下させることが明らかになりました.また,この反復的他動運動後の一次運動野の興奮性の低下には,一次運動野内の皮質内抑制回路の活動増大が関与していることが示唆されました.今後,この現象について基礎的研究をさらに進める予定です.最終的には,中枢神経疾患患者に対するリハビリテーション手段の一つになることを目指しています.

本研究成果のポイント
①我々は,皮質脊髄路の興奮性を評価するために運動誘発電位(MEP)を用いました.他動運動課題は10分間の反復示指外転運動とし,0.5,1.0,3.0,5.0 Hzの運動頻度を用いました(0.5,1.0,3.0,5.0 Hz-RPM).その結果,0.5,1.0 Hz-RPMでは,介入前と比較してMEP振幅値が2分間有意に低下しました.一方,3.0 Hz-RPMでは有意な変化を認めませんでした.さらに,5.0 Hz-RPMでは,介入前と比較してMEP振幅値が15分間有意に低下しました.このことから,反復的他動運動は運動頻度に依存して皮質脊髄路の興奮性を低下させることが明らかになりました.

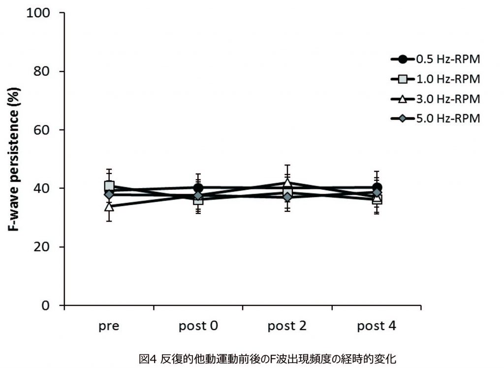
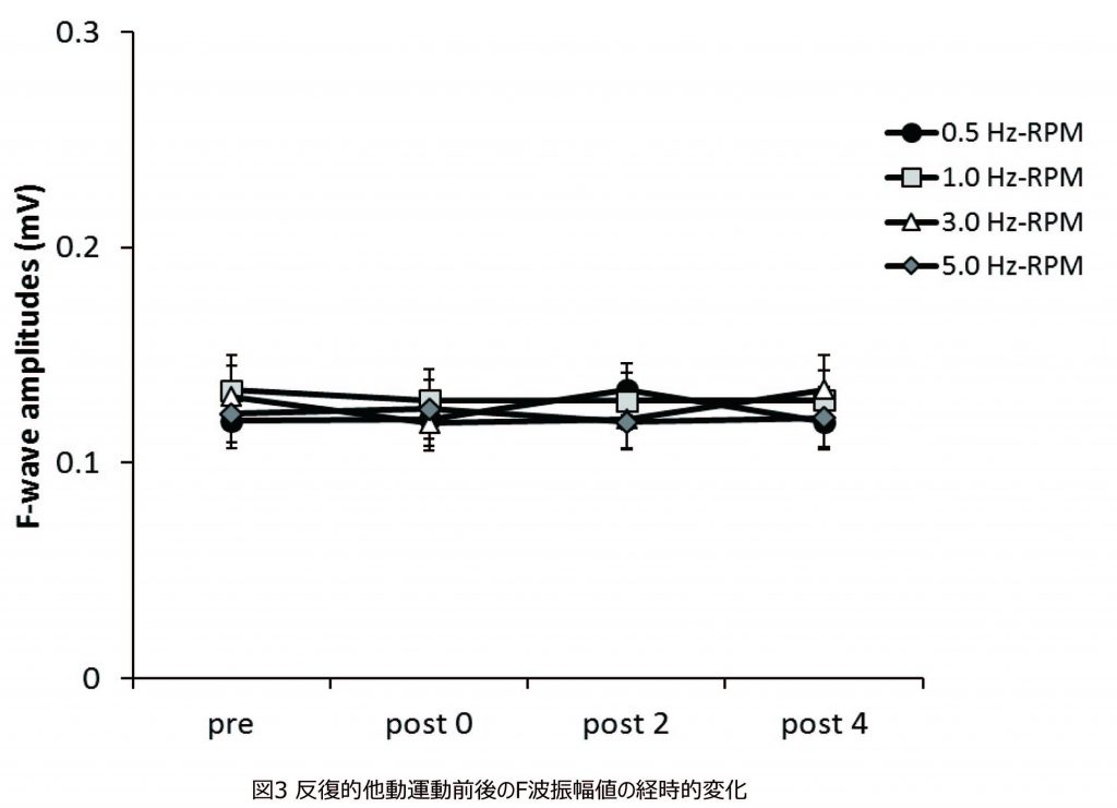
②我々は,脊髄運動ニューロンの興奮性を反映するF波を用いて,反復的他動運動後のMEP変化は一次運動野または脊髄運動ニューロンのどちらの興奮性が変化しているのかを検討しました.その結果,いずれの運動頻度においてもF波振幅値とF波出現頻度は変化しませんでした.この結果は,反復的他動運動後に観察されたMEPの低下は,脊髄運動ニューロンの興奮性変化ではなく,一次運動野で引き起こされていることを示唆しています.

③我々は,短潜時皮質内抑制(SICI)を用いて,反復的他動運動が皮質内抑制回路に与える影響について検討しました.その結果,MEPの低下が認められた時間でSICIの増大が認められました.このことから,反復的他動運動後の一次運動野の興奮性低下には皮質内抑制回路の活動増大が関与していることが示唆されました.

原論文情報;著者名,論文タイトル,雑誌名,doi
Ryoki Sasaki, Masaki Nakagawa, Shota Tsuiki, Shota Miyaguchi, Sho Kojima, Kei Saito, Yasuto Inukai, Mitsuhiro Masaki, Naofumi Otsuru, Hideaki Onishi, Regulation of primary motor cortex excitability by repetitive passive finger movement frequency, Neuroscience. doi: 10.1016/j.neuroscience.2017.06.009