ランニング中の足部内の動きには性差が存在する!
―女性に多い足部障害発生率の原因は足部内の過剰な動きである可能性を示唆―
研究内容の概要:
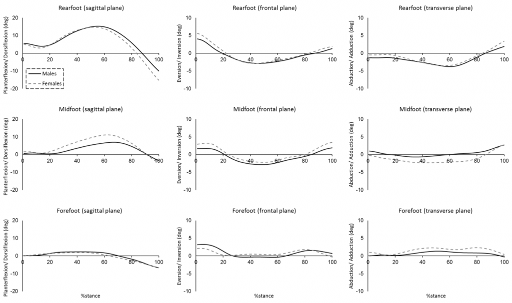
これまでの多くの先行研究で,女性は男性と比較して足部障害発生率が高いことが明らかになっていました.しかし,なぜ女性の障害発生率が高いかは明らかになっていませんでした.そこで,本研究はランニング中における後足部,中足部,前足部の性差を検証しました.その結果,女性における後足部と中足部の動きが男性と比較して有意に増加していました.先行研究は足部の過剰な動きが障害発生に関与することを報告しているため,本研究結果は女性の足部障害発生率が高い一つの要因になる可能性があると考えています.
本研究は「European Journal of Sport Science」に掲載予定です.
研究者からのコメント:
これまでランニング中の股関節,膝関節,骨盤の動きの性差は報告されていましたが,足部内の動きの性差が報告されていませんでした.そこで,本研究は女性が男性と比較して足部内の動きが過剰に動いていることを明らかにしました.本研究は足部障害の予防や治療展開への基礎的知見になることが期待できると考えています.

本研究成果のポイント:
1.無次元化解析を行うことで男性と女性の歩行パラメーターを統一した点.
2.女性が男性と比較して後足部と中足部が過剰に動いていた点.


原著論文情報:
Takabayashi T, Edama M, Nakamura M, Nakamura E, Inai T, Kubo M. Gender differences associated with Rearfoot, Midfoot, and Forefoot Kinematics during running. European Journal of Sport Science. 2017.