指先への刺激で運動に関与する皮質脊髄路の興奮性を変えることが出来るのか?
研究内容の概要:
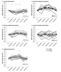
我々は,点字様の刺激ピンを用いた指先への触覚刺激が運動に関与する皮質脊髄路の興奮性に与える影響を検討しました.20分間の刺激の結果,指先全体を刺激した場合(指の指腹を叩くような刺激)は,皮質脊髄路の興奮性を減弱するのに対して,指先への刺激が一方向に移動するように刺激した場合(指の指腹を擦るような刺激)は,皮質脊髄路の興奮性を増大することが明らかになりました.よって,運動に関与する皮質脊髄路の興奮性は,一定時間の触覚刺激により変動し,その変動は刺激のパターンに依存することが示唆されました.
本研究成果は,2018年1月22日に国際電子ジャーナルの「Neural Plasticity」に受理されました.
研究者からのコメント:
指先への刺激は,感覚機能に関連する大脳皮質部位の活動を増大するとともに,感覚機能を向上させることが報告されています.今後は,一定時間の触覚刺激が手指の運動機能に及ぼす影響を明らかにすることができれば,リハビリテーション分野への応用が期待できるため,継続して研究を行っていきます.

研究成果のポイント
1)実験で用いた刺激には,点字様のピンを24本用いました.

2)24本のピンが同時に突出し刺激する条件や縦6本の刺激が横4列を順序良く左右に移動する刺激など,5種類の刺激パターンで20分間の介入を行いました.

A.指先全体を刺激する条件,B.刺激が左右に移動する条件,C指先を擦る刺激条件,D刺激が縦方向に移動する条件,E.刺激が刺激範囲内を無作為に移動する条件
3)刺激のパターンによって,刺激後の大脳皮質の興奮性が増大または減弱することが明らかになりました.

原著論文情報
Sho Kojima, Hideaki Onishi, Shota Miyaguchi, Shinichi Kotan, Ryoki Sasaki, Masaki Nakagawa, Hikari Kirimoto, Hiroyuki Tamaki. Modulation of corticospinal excitability depends on the pattern of mechanical tactile stimulation. Neural Plasticity. In press