歩行中の股関節モーメントインパルスを低減する要因は?−システマティックレビューによる報告−
稲井卓真(大学院博士課程1年・運動機能医科学研究所所属)らのシステマティックレビューが『Gait & Posture』に採択されました.
研究の概要と稲井くんからのコメントは以下の通りです.
概要
変形性股関節症は、股関節の軟骨に変性や摩耗が生じる代表的な整形外科疾患です。近年、歩行中の股関節累積負荷(=股関節モーメントインパルスと1日あたりの平均歩数の積)の増大が変形性股関節症の進行を助長すると報告されています(股関節モーメントインパルスは図1の青・緑・黄・赤の面積を示します)。すなわち、歩行中の股関節モーメントインパルスを低減させる要因を明らかにすることは変形性股関節症の進行を遅延させるために重要です。
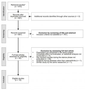
そこで、この要因を探索するためにシステマティックレビューを行いました(図2)。その結果、975本の論文のうち10本の論文が選定基準をクリアし、歩行時の「足関節のプッシュオフ」や「体重免荷」が股関節モーメントインパルスを低減させる要因であることが明らかになりました。本研究は、「Gait & Posture」に掲載予定です。

図1.股関節モーメントインパルスの説明

図2.システマティックレビューのフローチャート
筆頭著者からのコメント
今回のシステマティックレビューの結果は、変形性股関節症の進行を遅延させるための基礎的な知見になりうると考えています。今後はコンピューターシミュレーションなどを用いて,バイオメカニクス的な視点から,歩行中の股関節モーメントインパルスを低減させる要因を詳細に検討していきたいと考えています。
原著論文情報
Inai T, Takabayashi T, Edama M, Kubo M. Evaluation of factors that affect hip moment impulse during gait: A systematic review. Gait & Posture. 2018. In press.