他動運動に伴う体性感覚入力は一次体性感覚野の興奮性に影響を与えることを解明!!
【研究概要】
反復的な体性感覚刺激は,一次運動野の興奮性を変化させることが可能です.我々の先行研究では,反復的な他動運動刺激(RPM)は,他動運動の運動頻度に依存して一次運動野の興奮性に影響を及ぼすことを明らかにしました(Sasaki et al. 2017, Neuroscience).しかし,RPMによる体性感覚入力が,体性感覚を受容する一次体性感覚野(S1)の興奮性に影響を及ぼすのかは不明でした.そこで本研究の目的は,RPMによる体性感覚入力がS1の興奮性に与える影響を明らかにすることでした.
本研究成果は,国際誌『Frontier in Human Neuroscience』に掲載されました.
【研究者からのコメント】
脳卒中による運動麻痺の改善を目的としたリハビリテーションには,従来の運動療法だけでなく,経頭蓋直流電流刺激や反復経頭蓋磁気刺激などの機器を使用した一次運動野の可塑性の誘導が注目されています.一方,脳卒中によって生じた感覚障害に対する有効なリハビリテーション手法は明らかになっていないのが現状です.したがって,本研究では,感覚機能を向上するためのS1の可塑性を誘導するリハビリテーション手法の開発を目指しております.

【研究のポイント】
を明らかにする.
対象は同意の得られた健常成人19名であった.S1の興奮性の評価には,末梢神経電気刺激によって誘発されるSEPを用いた(実験1).刺激部位は右手関節部の尺骨神経とし,C3’領域からSEPを導出した.また,閉眼安静状態でC3’領域から安静脳波を記録した(実験2).他動運動課題は10分間の反復示指内外転運動とし,実験1では0.5,1.0,3.0,5.0 Hzの運動頻度(0.5,1.0,3.0,5.0 Hz-RPM),実験2では1.0,3.0,5.0 Hzの運動頻度(1.0,3.0,5.0 Hz-RPM)を用いた.
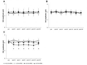
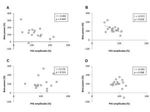
3.0 Hz-RPMのみでBeta powerとP45成分に負の相関関係を認めた.

図1.本研究で使用した他動運動コントロール装置.

図2.実験手順.(A):実験1のSEPは10分間のRPM介入(0.5,1.0,3.0,5.0 Hz-RPM)前後の7区間(pre,post 0,post 4,post 8,post 12,post 16,post 20)でそれぞれ計測した.(B):実験2のSEPと安静脳波は10分間のRPM介入(1.0,3.0,5.0 Hz-RPM,Control)前後の2区間(pre,post)でそれぞれ計測した.

図3.A):0.5 Hz-RPM,(B):1.0 Hz-RPM,(C):3.0 Hz-RPM,(D):5.0 Hz-RPM.
これらのSEP波形は,各RPM介入(0.5,1.0,3.0,5.0 Hz-RPM)前後でC3’(Fz)から導出された全体平均(n = 15)である.

図4.A):N20振幅値,(B):P25振幅値,(C):P45振幅値.RPM介入(0.5,1.0,3.0,5.0 Hz-RPM)前後の各区間(pre,post 0,post 4,post 8,post 12,post 16,post 20)で記録したN20,P25,P45成分の平均値 ± 標準誤差である(n = 15).*:p < 0.05.

図5.(A):1.0 Hz-RPM,(B):3.0 Hz-RPM,(C):5.0 Hz-RPM.各RPM介入(1.0,
3.0,5.0 Hz-RPM)前後でC3’(A1)から導出された1-40 Hzまでのパワースペクトルの
全体平均(n = 15)である.Alpha波(8-12 Hz)とBeta波(12-25 Hz)のパワースペクトルは,各RPMの介入前後で有意な変化を認めなかった.

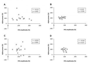
図6.A):1.0 Hz-RPM,(B):3.0 Hz-RPM,(C):5.0 Hz-RPM,(D):Control.
これらの図は,各RPM介入前後のP45成分の変化率(%)とAlpha powerの変化率(%)の関連性の結果を示している.その結果,P45成分の変化率とAlpha powerの変化率には有意な相関関係は認められなかった.

図7.(A):1.0 Hz-RPM,(B):3.0 Hz-RPM,(C):5.0 Hz-RPM,(D):Control.
これらの図は,各RPM介入前後のP45成分の変化率(%)とBeta powerの変化率(%)の関連性の結果を示している.その結果,3.0 Hz-RPMのみでP45成分の変化率とBeta powerの変化率に負の相関関係が認められた(r = -0.572,p = 0.026).
【原著論文情報】
Ryoki Sasaki, Shota Tsuiki, Shota Miyaguchi, Sho Kojima, Kei Saito, Yasuto Inukai, Naofumi Otsuru, Hideaki Onishi. Repetitive passive finger movement modulates primary somatosensory cortex excitability. Frontier in Human Neuroscience. 2018. In press.