巧緻性を要する運動課題によって一次運動野の興奮性が増大する!
宮口翔太助教(理学療法学科,運動機能医科学研究所)らの研究論文が国際誌『Journal of Clinical Neuroscience』に採択されました!
研究内容の概要:
本研究では,軽負荷反復運動後に惹起される一時的な一次運動野興奮性低下(運動後抑制)に着目し,運動後抑制が引き起こされる運動要因を明らかにすることを目的として,2つの実験を行いました.その結果,単調な運動課題(2 Hz,6分間)終了後に2分間の運動後抑制が認められ,視覚追従課題(1Hz,5分間)終了後に1分間の一次運動野興奮性の増加が認められました.本研究により,遂行する運動課題の違いによって運動課題後の一次運動野興奮性の変化が異なることが明らかになりました.
研究者からのコメント:
本研究は,理学療法学科13期生の石川夏美さん(写真中央),宮尾隆之介くん(写真右)が,本大学在学中に大西秀明教授のもとで卒業研究として行った研究内容です.二人は現在,神奈川県の海老名総合病院(石川さん)と座間総合病院(宮尾君)で理学療法士として勤務しております.二人の研究により,調節を要する運動課題では一次運動野の興奮性が増大し,単調な反復運動課題では一次運動野の興奮性が低下することが明らかになりました.

研究成果のポイント:
実験1では健常成人15名を対象としました.運動課題は6分間の示指外転運動とし,1)2 Hzの頻度でリズミカルに行う課題(単調課題)と,2)0.2 Hzで筋活動を調節しながら行う課題(調節課題)を設定しました.運動強度はいずれも最大随意収縮の10%程度の強度としました.その結果,単調課題終了後に2分間の一次運動野興奮性の低下が認められましたが,調節課題では興奮性の変化は認められませんでした(図1).

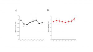
実験2では健常成人12名を対象としました.運動課題は5分間の示指外転等尺性収縮とし,1)1 Hzの頻度でモニタ上を移動する指標に力を合わせる課題(視覚追従課題)と,2)1 Hzの単調な等尺性反復運動課題(単調等尺性課題)を設定しました.運動強度はいずれも最大随意収縮の10%程度の強度としました.その結果,視覚追従課題終了後1分間一次運動野興奮性の増加が認められましたが,単調等尺性課題では興奮性の変化は認められませんでした(図2).

原論文情報
Natsumi Ishikawa, Ryunosuke Miyao, Shota Tsuiki, Ryoki Sasaki, Shota Miyaguchi, Hideaki Onishi. Corticospinal excitability following repetitive voluntary movement. Journal of Clinical Neuroscience (2018).