扁平足におけるランニング中の足部内ダイナミックアライメントを解明!

高林知也助教(理学療法学科、バイオメカニクスLab、運動機能医科学研究所)らの研究論文が国際誌に掲載されました!

 

研究内容扁平足におけるランニング中の足部内ダイナミックアライメントを解明!

 

研究内容の概要:

代表的な足部変形に扁平足があり,ある研究では成人で26.6%も扁平足を有していることがわかっています.扁平足は様々なランニング障害の危険因子となっているため,扁平足に対するランニング障害の予防法を確立することが重要となります.しかし,その予防法はまだ確立されておらず,その理由のひとつとして扁平足がランニング障害を頻発しやすいメカニズムが未だ不明であることが挙げられます.

これまで,扁平足の後足部の過剰な動き(Hyper pronation)が障害発生に関与することがわかっていましたが,近年では後足部だけでなくその遠位セグメントの中足部や前足部の動きも重要であることがわかっています.我々はランニング中に後足部・中足部・前足部間に運動連鎖があることを発見し(Takabayashi et al, 2017),中足部の動きがより重要な役割を果たしている可能性を示してきました(Takabayashi et al, 2018).さらに,先行研究で扁平足に発症しやすいMTSS(シンスプリントとも呼ばれる)は健常者と比べて前足部の動きが異なることが分かっています.そのため,扁平足でもランニング中に足部内の動きが正常足と比べて異なる可能性があります.

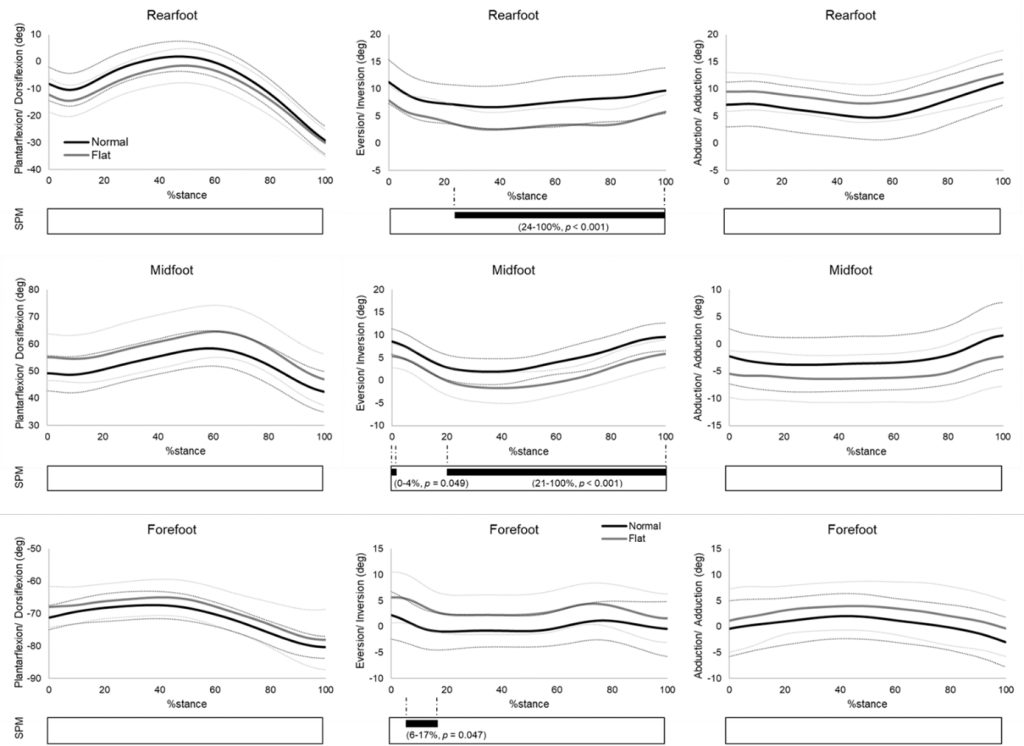
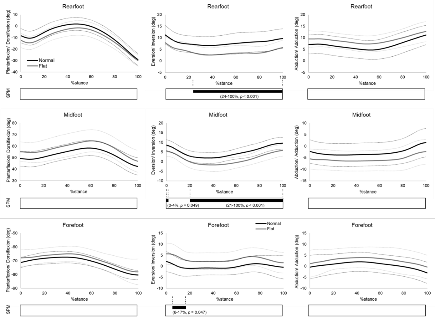
そこで,本研究では扁平足を対象に,ランニング中の後足部,中足部,前足部の動きを検証しました.その結果,扁平足は正常足と比較して,後足部と中足部が広範囲で常に回内位を示し,その代償として前足部は回外位を示すことも明らかになりました.

本研究は「Journal of Orthopaedic Research」に掲載予定です.

 

研究者からのコメント:

本研究結果より,扁平足は後足部や中足部,前足部の動きも変化しており,後足部だけでなく中足部や前足部のダイナミックアライメントの評価も重要であることが考えられました. MTSSの発症メカニズムは多くの研究でまだ議論の最中ですが,そのひとつにヒラメ筋と長趾屈筋が伸張されて発症するというメカニズムが提唱されています.解剖学的に,ヒラメ筋は後足部回内,長趾屈筋は中足部回内で伸張されます.本研究結果から扁平足で後足部と中足部が常に回内位にあったため,扁平足がMTSSを発症しやすい理由のひとつを示す可能性があると考えています.しかし,本研究は横断的研究であるため,今後は縦断的な検証が必要であると考えています.

 

本研究成果のポイント:

①Rizzoli foot modelを使用して後足部,中足部,前足部を評価した点.

 

②Statistical Parametric Mappingで統計を実施した点(黒い枠が有意差がある箇所).

 

原著論文情報:

Takabayashi T, Edama M, Inai T, Kubo M. Differences in rearfoot, midfoot, and forefoot kinematics of normal foot and flatfoot during running.

Journal of Orthopaedic Research. 2020.10.7 [accepted].