バランス機能の向上に前庭ノイズ電流刺激が有効だということを明らかにしました!

犬飼康人講師(理学療法学科,神経生理Lab)と斎藤美樹さん(理学療法学科16期生,下越病院勤務)らの研究論文が国際誌に掲載されました

 

バランス機能の向上に前庭ノイズ電流刺激が有効だということを明らかにしました!

 

研究概要:

前庭感覚は,視覚や体性感覚と同様にヒトのバランスコントロールに貢献する感覚の1つである.前庭感覚を司る前庭器官は耳の後ろに貼付した電極から通電することで刺激することが可能です.私たちは,前庭器官にノイズ電流を与えることで,刺激中ならび刺激後のバランス機能が向上することを明らかにしてきました(Inukai et al., 2018a, 2018b, 2020).これらの研究成果は,前庭器官へのノイズ電流刺激(前庭ノイズ電流刺激)はバランス機能を向上させるのに有効な介入方法であることを示しているが,ノイズ電流刺激を受ける条件が刺激効果に影響を与えるかは不明でした.今後,バランス機能の向上させる介入方法として発展していくためには,良好な刺激効果が得られる刺激条件を明らかにすることが必要不可欠である.この研究では,異なる条件(床面ならび視覚情報の有無)にて前庭ノイズ電流刺激を行った際の刺激効果(バランス機能の改善効果)の違いを検証しました.本研究の結果として,前庭ノイズ電流刺激を安定した床面上で開眼立位の状態で行った際には,刺激後のバランス機能が向上するのに対し,前庭ノイズ電流刺激を不安定な床面上で閉眼立位の状態にて行った際には,刺激後のバランス機能は変化を認めませんでした.本研究成果から,バランス機能を向上させたい場合は,安定した床面上で開眼立位の状態で前庭ノイズ電流刺激を行うことが有効だということが明らかになりました.本研究の成果は「Frontiers in Human Neuroscience」に掲載されています.

 

研究者からのコメント:

私たちは,耳の後ろに電極を貼付し,前庭器官に微弱なノイズ電流を加えるとバランス機能が向上することを報告してきました(Inukai et al., 2018a, 2018b, 2020).これまでの研究成果から,前庭器官にノイズ電流を加える「前庭ノイズ電流刺激」は,バランス機能を向上させる有効な治療法へと発展できる可能性があると考えています.本研究では,前庭ノイズ電流刺激を行う刺激条件がバランス機能を改善させる刺激効果に与える影響を検証しました.本研究結果より,前庭ノイズ電流刺激は安定した床面上の開眼立位で行うことで,効果的にバランス機能を向上させることが明らかになりました.

 

本研究のポイント:

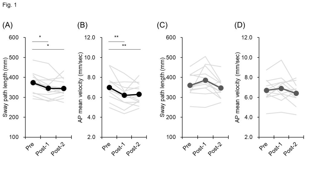
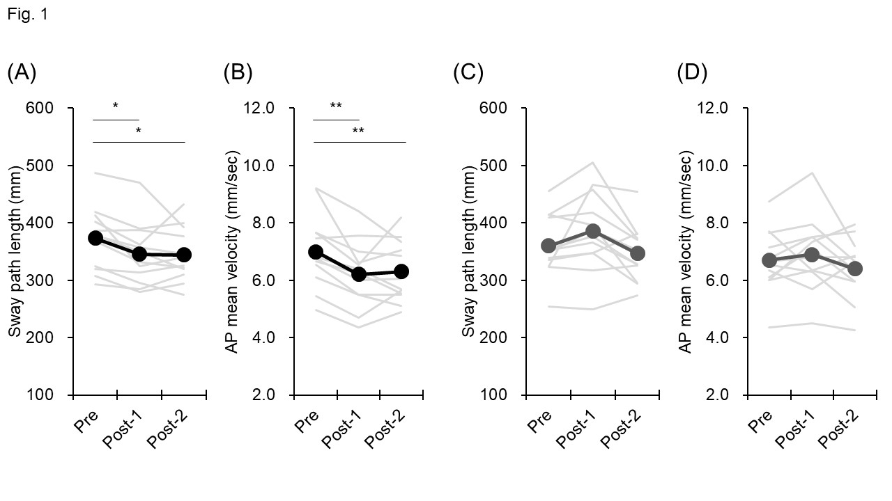
1.前庭ノイズ電流刺激は安定した床面上で開眼立位の状態で行った際には,刺激後の立位重心動揺(バランス機能の指標)が減少するが,前庭ノイズ電流刺激を不安定な床面上で閉眼立位の状態で行った際には,立位重心動揺は変化しないことが明らかになりました(Fig.1).

 

2.前庭ノイズ電流刺激がバランス機能を向上させる刺激効果は,不安定な床面上の閉眼立位で行った際より,安定した床面上の開眼立位で行った際の方が大きいことが明らかになりました(Fig.2).

 

原論文情報

Inukai Y, Miyaguchi S, Saito M, Otsuru N and Onishi H (2020) Effects of Different Stimulation Conditions on the Stimulation Effect of Noisy Galvanic Vestibular Stimulation. Front. Hum. Neurosci. 14:581405. doi: 10.3389/fnhum.2020.581405