高林知也講師(理学療法学科,バイオメカニクスLab,運動機能医科学研究所)の研究論文が,国際誌『Scandinavian Journal of Medicine & Science in Sports』に採択されました!
研究内容の概要:
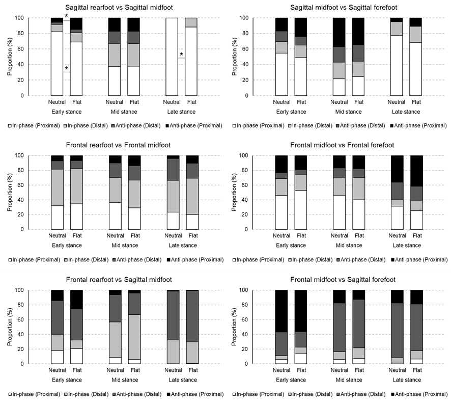
代表的な足部障害である扁平足は,多くのランニング障害を引き起こします.そのため,扁平足のようなアライメントを改善することは,ランニング障害を予防することに繋がります.しかし,いまだランニング障害の発症メカニズムについては不明な部分が多いです.本研究では,Dynamical system approachのひとつであるModified vector coding techniqueを用いて,扁平足者と正常足者で足部内の関係性(協調性パターン)とその変動性(ばらつきの指標)を解析しました.その結果,扁平足と正常足では足部内の協調性が異なり,扁平足者は足部内の変動性が増加していました. 本研究成果は国際誌「Scandinavian Journal of Medicine & Science in Sports」に掲載予定です.
研究者からのコメント:
扁平足は多くのランニング障害の危険因子でありますが,いまだその発生メカニズムは不明な点が多いです.近年ではライフスタイルの「健康志向」化に伴い,老若男女問わず世界中でランニングブームが加速しているため,ランニングを安全かつ楽しく実施するためにはランニング障害の治療法・予防法を確立することは重要となります.そのためには,まず障害の発生メカニズムを把握することが必須であると考えています.本研究では扁平足と正常足で足部内協調性と足部内の変動性が異なることを明らかにし,この違いは扁平足に起因するランニング障害の発生機序に関与する可能性を考えています.今後は他の危険因子や扁平足のタイプ分類も考慮した検証を行い,なぜ扁平足がランニング障害を発生しやすいかをさらに究明していきたいと考えています.

本研究成果のポイント:
扁平足と正常足でランニング時の足部内協調性の違いを明らかにした点.

原論文情報:
Takabayashi Tomoya, Edama Mutsuaki, Inai Takuma, Kubo Masayoshi. Differences in the coordination and its variability among foot joints during running in neutral foot and flatfoot. Scandinavian Journal of Medicine & Science in Sports. 2022.10 [accepted].