熊崎先生 (健康スポーツ学科, スポーツ医学Lab, 運動機能医科学研究所) と藤本先生 (健康スポーツ学科, スポーツ生理学Lab, 運動機能医科学研究所) が共同筆頭著者の研究論文が国際誌「International Journal of Sports Physiology and Performance」に採択されました.
研究内容の概要:
ラグビー競技は体格(身長や体重,除脂肪量)が競技パフォーマンスに大きな影響を与えるスポーツであり,実際に世界ランキング上位国と下位国の間では体格差があることが報告されています.近年のラグビーワールドカップでは,世界ランキング上位国を退け日本がアジアで唯一ベスト8に進出したものの,更なる躍進のためにはラグビー選手の長期的な育成を行っていく必要があります.
そこで本研究では,日本の高校ラグビー選手を対象とした3年間の体力測定を実施し,体格や筋力の高校3年間における発育発達過程やポジションによる特性を検証しました. 本研究では北信越地域に所属する高校ラグビー選手83名を対象に,高校入学から卒業までの3年間を通して体格指標 (身長,体重,脂肪量,除脂肪量),筋力指標 (ベンチプレス,速性膝関節屈曲伸展筋力など),スプリントパフォーマンス指標 (50mスプリントタイム,ジャンプ) を測定しました.また,筋力指標を相対化するためにこれまで多くの研究で体重に対する相対値が用いられてきましたが,本研究では新たに筋量をより反映すると考えられる徐脂肪体重に対する相対値を用いることで筋量の影響を考慮したな筋力を検討しました.その結果,体格指標において,体重自体はポジションに関わらず3年間で成長するものの,脂肪量や徐脂肪体重 (脂肪を除いた筋肉などの重さ) の変化にはポジション特性が見られ,脂肪量はバックスではほとんど増加せず,徐脂肪体重はポジションにより変化するタイミングが違うことが明らかになりました.また,筋力指標においては,体格を考慮するためにこれまで多くの研究で筋力を体重で除した相対値が用いられてきましたが,本研究では体重よりも筋量の変化をより反映する除脂肪体重に対する相対値についても検討しました.その結果,上肢筋力の相対値の成長に関してポジションによる差はみられないこと,下肢筋力の相対値は3年間で発達が見られないことが明らかになりました.
研究者からのコメント:
本研究から,体格が大きく変化する高校年代のラグビー選手においては,筋力の絶対値や体重に対する相対値ではなく,より筋量を反映する除脂肪体重に対する相対値を用いた比較を行うことでより正確な筋力評価を行うことができると考えられます.さらに,世界におけるラグビー強豪国と比較すると,日本のジュニア世代のラグビー選手は身体の大きさだけでなく,下肢筋力とスプリントパフォーマンスの成長が見られませんでした.日本のジュニア世代のラグビー選手を対象とした縦断研究である本研究の知見は,ジュニア世代のトレーニングやタレント発掘など,今後の日本ラグビーの発展を考える上で重要になると考えられます.

本研究成果のポイント:
①ラグビー競技においてフォワード (FWs) とバックス (BKs) の間には体格的な特性があります.高校生年代においてもポジション特性があるとともに,発育発達の過程も異なる経過をたどることが明らかになりました.

図1. 脂肪量 (Fat mass, A) および徐脂肪体重 (Lean body mass, B) の変化
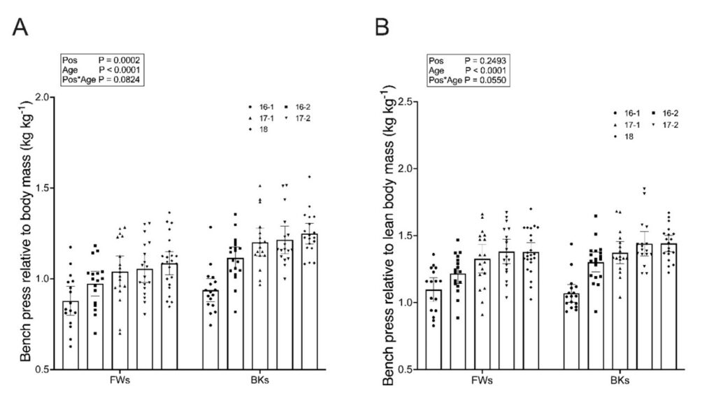
②代表的な上肢筋力の指標であるベンチプレスにおいて,体重に対する相対値ではいずれのポジションおいても成長が見られ,フォワード (FWs) よりもバックス (BKs) で高値を示しますが,より筋量を反映すると考えられる徐脂肪体重に対する相対値ではポジション間の差がなくなりました.

図2. 最大ベンチプレス挙上重量の体重 (A) および除脂肪体重 (B) に対する相対値の変化
原論文情報:
Kumazaki A, Fujimoto T, Matsuura Y. Longitudinal Development of Physical Characteristics and Function in Japanese Junior Rugby Union Players. Int J Sports Physiol Perform. 2023 Jul 27:1-9. doi: 10.1123/ijspp.2023-0114. Online ahead of print.