サイトマップ
日本語
English
新潟医療福祉大学 運動機能医科学研究所
Home
スタッフ
研究内容
業績
外部資金獲得状況
社会活動
大学院生募集
アクセス・連絡先
リンク
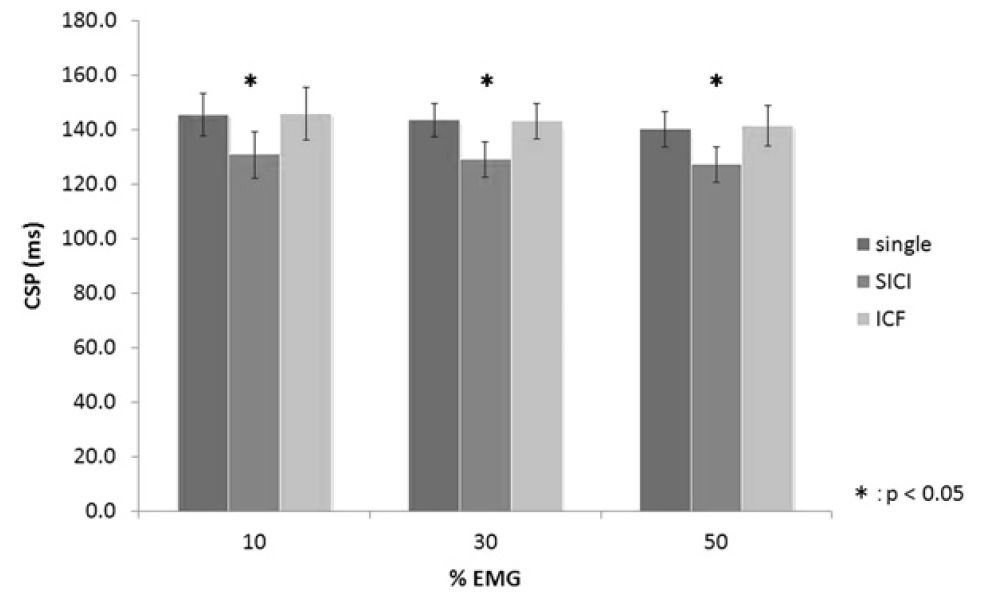
2013 Kojima 2(BMC)
Home
スタッフ
研究内容
業績
外部資金獲得状況
社会活動
大学院生募集
アクセス・連絡先
リンク
学校法人 新潟総合学園 新潟医療福祉大学 運動機能医科学研究所
住所:〒950-3198 新潟県新潟市北区島見町1398
TEL:025-257-4445
サイトポリシー
このサイトについて
Copyright © 2011 HIMMS. All Rights Reserved.