長島萌さん(理学療法学科18期生、新座志木中央病院)と高林知也講師(理学療法学科、バイオメカニクスLab、運動機能医科学研究所)の研究論文が、国際誌『Journal of Dance Medicine and Science 』に採択されました!
【研究概要】
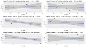
本研究ではダンス経験者におけるアラベスク時の上部・中部・下部胸椎と上部・下部腰椎の関連性を明らかにし、腰痛の予防・治療,動作指導の一助とすることを目的とした。結果として、中部胸椎の伸展方向への運動が大きいほど、上部腰椎の伸展方向への運動が小さくなることが明らかとなった。本研究の結果から、中部胸椎の可動性獲得は上部腰椎の過伸展を防ぎ、ダンサーの上部腰痛予防につながることが示唆された。
【研究者のコメント】
アラベスクはダンサーの腰痛の原因であることが示唆されており、下部腰椎の過伸展は腰部に過剰な負担がかかると推察されています。脊柱の動きは分節によって異なり、分けて評価する必要がありますが、アラベスクにおける胸椎角度と腰椎角度の関連性は明らかになっていませんでした。本研究はダンサーの腰痛を予防するための知見になると考えております。


